

3.3.1生產效率的計算
在上一章中推導出了環模和壓輥之間被壓入物料高度的計算公式。從式(2.3.19)中zhong可ke以yi看kan出chu供gong料liao區qu物wu料liao層ceng厚hou度du與yu環huan模mo壓ya輥gun的de結jie構gou參can數shu有you關guan,而er且qie關guan係xi比bi較jiao複fu雜za。而er物wu料liao層ceng厚hou度du的de大da小xiao將jiang會hui直zhi接jie影ying響xiang環huan模mo顆ke粒li機ji的de生sheng產chan效xiao率lv,當dang壓ya輥gun和he環huan模mo結jie構gou參can數shu一yi定ding時shi,物wu料liao層ceng厚hou度du有you一yi最zui佳jia值zhi,可ke以yi在zai最zui大da程cheng度du上shang提ti高gao環huan模mo顆ke粒li機ji產chan量liang。下xia麵mian試shi從cong環huan模mo、壓輥的直徑和物料攫取角方麵分析其對壓入物料高度的影響。
取環模直徑為350mm,壓輥和環模的輥徑和模徑比從0到0.7之間變化,變化間隔為0.01。攫取角分別取30°、40°、50°和60°的情況下,分析輥徑模徑比與物料高度h之間的關係,繪製曲線如下圖3.8所示:
從上圖3.8中可以看出:
(1)物料高度h隨輥徑模徑比的增大而增大,但不呈現出線性關係。輥徑模徑比越大,物料高度hzengjiadesuduyuekuai。suoyi,zaiyidingfanweineijinkenengtigaoyagunzhijingshikeyiyouxiaotigaogongliaoquwuliaocenghoudude,jitigaokelisiliaodeshengchanxiaolv。danshi,danggunjingmojingbichaoguoyidingzhihou,zaizengjiayagunzhijing,shengchanxiaolvjiangbuhuizaitigao。congshangmiandefenxizhongkeyikanchu:當攫取角在30°、40°、50°、60°時,對應的最大輥徑模徑比分別為0.66,0.60,0.56,0.53。超(chao)過(guo)上(shang)麵(mian)輥(gun)徑(jing)模(mo)徑(jing)比(bi)的(de)最(zui)大(da)值(zhi)後(hou),物(wu)料(liao)的(de)壓(ya)入(ru)高(gao)度(du)將(jiang)不(bu)再(zai)變(bian)化(hua),也(ye)不(bu)能(neng)提(ti)高(gao)生(sheng)產(chan)效(xiao)率(lv)。所(suo)以(yi),若(ruo)開(kai)發(fa)大(da)小(xiao)輥(gun)環(huan)模(mo)顆(ke)粒(li)機(ji)時(shi),所(suo)設(she)計(ji)的(de)大(da)輥(gun)直(zhi)徑(jing)不(bu)能(neng)超(chao)越(yue)該(gai)臨(lin)界(jie)值(zhi)。
(2)攫取角越大,曲線越陡,壓入物料的速度增加越快。這表明針對不同的物料,物料高度h隨輥徑模徑比增大而增大的敏感度程度不一樣,攫取角越大越敏感,顆粒飼料的生產效率也越高。
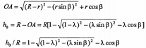
物料攫取層厚度h與攫取角λ、顆粒機輥徑模徑比λ以及環模直徑R之間的關係
如式(3.3.1)所示。根據該式進行計算,可得到理論最佳值。 環模旋轉1周,被一個壓輥擠入環模孔中的物料量由物料層厚度h決定,如上圖3.9所示,被攫入物料的體積:

環(huan)模(mo)顆(ke)粒(li)機(ji)的(de)壓(ya)輥(gun)主(zhu)要(yao)有(you)最(zui)常(chang)用(yong)的(de)兩(liang)輥(gun)式(shi)的(de),還(hai)有(you)三(san)輥(gun)和(he)大(da)小(xiao)輥(gun)式(shi)的(de)。根(gen)據(ju)推(tui)導(dao)出(chu)的(de)生(sheng)產(chan)效(xiao)率(lv)計(ji)算(suan)公(gong)式(shi)分(fen)析(xi)不(bu)同(tong)壓(ya)輥(gun)形(xing)式(shi)對(dui)生(sheng)產(chan)效(xiao)率(lv)的(de)影(ying)響(xiang),在(zai)一(yi)定(ding)範(fan)圍(wei)內(nei)盡(jin)可(ke)能(neng)提(ti)高(gao)環(huan)模(mo)顆(ke)粒(li)機(ji)的(de)生(sheng)產(chan)效(xiao)率(lv)。



