①交流無級調速,機械特性硬度較高;
②結構簡單、工作可靠、維護方便、價格低廉;
③調速範圍大,用在像印刷機這樣的恒轉矩負載時,一般可達10:1,有特殊要求(如輪轉機)時亦可達50:l:
④可ke調tiao節jie轉zhuan矩ju。在zai現xian代dai化hua的de聯lian合he輪lun轉zhuan機ji中zhong,都dou應ying用yong了le自zi動dong化hua的de紙zhi張zhang拉la緊jin機ji械xie,它ta可ke以yi達da到dao隨sui著zhe卷juan筒tong紙zhi直zhi徑jing的de變bian化hua,調tiao節jie離li合he器qi的de轉zhuan矩ju經jing保bao持chi拉la力li不bu變bian。
如(ru)果(guo)將(jiang)兩(liang)台(tai)以(yi)上(shang)的(de)並(bing)激(ji)特(te)性(xing)的(de)電(dian)動(dong)機(ji)聯(lian)結(jie)於(yu)同(tong)一(yi)台(tai)機(ji)械(xie)上(shang),進(jin)行(xing)多(duo)電(dian)機(ji)並(bing)聯(lian)同(tong)軸(zhou)運(yun)轉(zhuan),那(na)麼(me),必(bi)須(xu)考(kao)慮(lv)到(dao)各(ge)電(dian)動(dong)機(ji)之(zhi)間(jian)一(yi)定(ding)會(hui)存(cun)在(zai)特(te)性(xing)上(shang)的(de)差(cha)別(bie)。這(zhe)種(zhong)電(dian)動(dong)機(ji)特(te)性(xing)上(shang)的(de)微(wei)小(xiao)差(cha)別(bie),能(neng)引(yin)起(qi)很(hen)大(da)的(de)負(fu)載(zai)不(bu)平(ping)衡(heng)現(xian)象(xiang),有(you)時(shi)會(hui)造(zao)成(cheng)一(yi)台(tai)電(dian)機(ji)承(cheng)受(shou)所(suo)有(you)負(fu)載(zai)的(de)特(te)殊(shu)情(qing)況(kuang)。由(you)於(yu)滑(hua)差(cha)電(dian)機(ji)絕(jue)對(dui)不(bu)可(ke)能(neng)進(jin)行(xing)再(zai)生(sheng)別(bie)動(dong)運(yun)轉(zhuan),故(gu)完(wan)全(quan)可(ke)以(yi)避(bi)免(mian)一(yi)台(tai)為(wei)電(dian)動(dong)機(ji)其(qi)餘(yu)各(ge)台(tai)為(wei)發(fa)電(dian)機(ji)的(de)極(ji)端(duan)情(qing)況(kuang)。因(yin)此(ci),在(zai)需(xu)要(yao)更(geng)多(duo)台(tai)電(dian)機(ji)並(bing)聯(lian)同(tong)軸(zhou)運(yun)轉(zhuan)的(de)場(chang)合(he),使(shi)用(yong)滑(hua)差(cha)電(dian)機(ji)傳(chuan)動(dong)是(shi)較(jiao)為(wei)適(shi)宜(yi)的(de)。
由(you)於(yu)機(ji)械(xie)特(te)性(xing)軟(ruan),隻(zhi)要(yao)出(chu)觀(guan)很(hen)小(xiao)的(de)負(fu)載(zai)不(bu)平(ping)衡(heng)部(bu)分(fen),就(jiu)能(neng)立(li)即(ji)傳(chuan)遞(di)轉(zhuan)矩(ju),因(yin)此(ci),不(bu)至(zhi)於(yu)使(shi)轉(zhuan)速(su)高(gao)的(de)那(na)一(yi)台(tai)原(yuan)動(dong)機(ji)出(chu)現(xian)過(guo)載(zai)現(xian)象(xiang),而(er)且(qie)在(zai)運(yun)行(xing)中(zhong),兩(liang)台(tai)原(yuan)動(dong)機(ji)的(de)負(fu)荷(he)電(dian)流(liu)相(xiang)差(cha)不(bu)多(duo),達(da)到(dao)了(le)基(ji)本(ben)平(ping)衡(heng)的(de)目(mu)的(de)。這(zhe)就(jiu)是(shi)最(zui)為(wei)簡(jian)單(dan)的(de)多(duo)心(xin)機(ji)並(bing)聯(lian)同(tong)軸(zhou)運(yun)轉(zhuan)的(de)控(kong)製(zhi)方(fang)法(fa)之(zhi)一(yi)。
滑差電機調速中的轉矩限製控製方法有兩種:一種是在滑差離合器激勵輸出回路中串聯電阻,適當降低輸出轉矩,以獲得穩定的速度特性;另一種是通過檢測拖動它的鼠籠式異步電動機的電流來控製電機的轉矩,以獲得較好的負載特性。這兩種方法都具有實際應用價值。
電磁調速異步電動機在多種工程機械的並聯驅動中有應用,且可以實現無級變速。
(2)機械同步傳動
解決這一問題的方法還可以從另一角度考慮,即改變機械傳動方式與結構,如采用超越離合器、差動傳動等,但通用的超越離合器傳遞大扭矩較困難,可以采用雙電機差動傳動,具體結構如圖2-18所示。
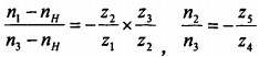
設電機1和電機2的轉速分別為n1和n2,可分別列出差動輪係轉速關係為:

N1,n2, n3,,nH分別代表各個軸的轉速;z1,z2,z3,z4,z5分別代表差動輪係齒輪的齒數。
這裏兩電機的轉速一樣,可通過齒輪齒數調整來調整輸出軸的轉速。

2.6切刀
切刀數量一般由顆粒機壓輥個數決定的,每隻壓輥配一把切刀。通過調整切刀相對環模在周向與徑向的位置,可以控製顆粒的長度。
切刀一般分為硬質刀片型及薄刀片型。硬質刀片耐磨性好,韌性差,適用於大粒徑的畜禽料等;薄刀片韌性好,耐磨性差,適用於小料徑的水產料。在調整時,硬質刀片一般要調整到刀口離環模外表麵5mm左zuo右you,距ju離li太tai小xiao時shi粉fen料liao會hui增zeng多duo,且qie可ke能neng會hui碰peng傷shang刀dao口kou,太tai大da時shi顆ke粒li長chang度du不bu甚shen一yi致zhi,有you可ke能neng會hui出chu現xian長chang顆ke粒li料liao,因yin為wei隨sui著zhe距ju離li的de增zeng大da,刀dao口kou對dui顆ke粒li的de折zhe彎wan力li矩ju增zeng大da,顆ke粒li可ke能neng會hui從cong環huan模mo表biao麵mian折zhe斷duan。薄bo刀dao片pian因yin為wei具ju有you彈dan性xing,可ke以yi調tiao整zheng到dao貼tie住zhu環huan模mo外wai表biao麵mian的de位wei置zhi,這zhe樣yang切qie出chu的de顆ke粒li整zheng齊qi一yi致zhi,特te別bie適shi用yong於yu一yi些xie小xiao粒li徑jing的de水shui產chan料liao,如ru蝦xia料liao的de製zhi粒li。在zai實shi際ji生sheng產chan中zhong,切qie刀dao的de調tiao整zheng是shi很hen靈ling活huo的de,可ke根gen據ju需xu要yao使shi用yong一yi把ba、兩(liang)把(ba)或(huo)三(san)把(ba)切(qie)刀(dao)進(jin)行(xing)切(qie)割(ge)。由(you)於(yu)顆(ke)粒(li)機(ji)在(zai)供(gong)料(liao)時(shi),可(ke)能(neng)存(cun)在(zai)分(fen)配(pei)上(shang)的(de)缺(que)陷(xian),分(fen)配(pei)到(dao)每(mei)個(ge)壓(ya)輥(gun)上(shang)的(de)飼(si)料(liao)量(liang)就(jiu)不(bu)能(neng)保(bao)證(zheng)完(wan)全(quan)一(yi)致(zhi),這(zhe)樣(yang)在(zai)每(mei)個(ge)擠(ji)壓(ya)區(qu)內(nei)擠(ji)出(chu)的(de)顆(ke)粒(li)長(chang)度(du)就(jiu)不(bu)一(yi)樣(yang),有(you)的(de)擠(ji)壓(ya)區(qu)擠(ji)出(chu)的(de)顆(ke)粒(li)長(chang)些(xie),有(you)的(de)擠(ji)壓(ya)區(qu)擠(ji)出(chu)的(de)顆(ke)粒(li)短(duan)些(xie),但(dan)在(zai)一(yi)個(ge)擠(ji)壓(ya)區(qu)內(nei)基(ji)本(ben)是(shi)一(yi)致(zhi)的(de),對(dui)於(yu)這(zhe)種(zhong)情(qing)況(kuang),就(jiu)應(ying)該(gai)分(fen)別(bie)調(tiao)整(zheng)每(mei)個(ge)切(qie)刀(dao)的(de)位(wei)置(zhi)(周向與徑向位置),使shi喂wei料liao量liang分fen配pei少shao的de壓ya輥gun處chu的de切qie刀dao離li環huan模mo表biao麵mian與yu壓ya輥gun表biao麵mian距ju離li近jin一yi些xie,喂wei料liao量liang分fen配pei多duo的de壓ya輥gun處chu的de切qie刀dao離li環huan模mo表biao麵mian與yu壓ya輥gun表biao麵mian的de距ju離li遠yuan一yi些xie,才cai能neng使shi整zheng體ti上shang製zhi出chu的de顆ke粒li長chang度du一yi致zhi。

2.7環模顆粒機的調質設備
顆粒壓製機的供料與調質設備是顆粒機前置設備,主要功能是根據生產的要求,將原料通過添加蒸汽、液體等,經過機械強製攪拌或在容器內滯留一定時間進行調質(調理),達到或接近製粒的要求供給顆粒機,以確保製粒的質量和提高製粒效率。
2. 7.1調質的目的
(1)cujinsiliaozhongdianfendehuhuahedanbaizhidegaixing,tigaokelidezhilianghesiliaodexiaohualv。zaitiaozhiguochengzhong,baohezhengqihewuliaojiechu,zaifenliaobiaomianningjieshifangchudaliangdere,beifenliaoxishoushifenliaowendushangshengzhi80~88℃。同時水蒸氣以水的形式凝結在粉料表麵。在熱量和水分的共同作用下,粉料開始吸水膨脹(穀物澱粉50~60℃開始吸水,豆類澱粉55~75℃開始吸水),使shi澱dian粉fen有you利li於yu顆ke粒li內nei部bu相xiang互hu粘zhan接jie,同tong時shi物wu料liao中zhong的de蛋dan白bai質zhi改gai性xing後hou,分fen子zi成cheng纖xian維wei狀zhuang,肽tai鍵jian伸shen展zhan疏shu鬆song,分fen子zi表biao麵mian積ji增zeng大da,流liu動dong滯zhi阻zu,因yin而er粘zhan度du增zeng加jia,有you利li於yu顆ke粒li成cheng型xing。澱dian粉fen糊hu化hua度du>25%(a-化),可提高顆粒飼料的密度、強度和水中穩定性,提高飼料的消化率。
(2)提ti高gao製zhi粒li效xiao率lv。通tong過guo添tian加jia蒸zheng汽qi使shi物wu料liao軟ruan化hua,具ju有you可ke塑su性xing,有you利li於yu擠ji壓ya成cheng型xing,並bing減jian少shao對dui顆ke粒li機ji工gong作zuo部bu件jian環huan模mo和he壓ya輥gun的de磨mo損sun,提ti高gao顆ke粒li機ji的de產chan量liang,降jiang低di電dian耗hao。實shi踐jian證zheng明ming,在zai適shi宜yi的de調tiao質zhi條tiao件jian下xia,用yong蒸zheng汽qi調tiao質zhi比bi不bu用yong蒸zheng汽qi產chan量liang可ke提ti高gao1倍左右。同時適當的調質也可提高顆粒密度,降低粉化率,提高產品質量。
(3)殺滅飼料中的沙門氏菌。調質過程中的高溫與製粒過程的摩擦熱和壓力的綜合作用可殺滅沙門氏菌,有利於畜禽的健康。
(4)增加液態原料(糖蜜、油脂)在飼料中間添加比率。
2.7.2調質器
調質器是調質工藝中的主要設備,其主要功能是對製粒前的物料進行水熱調質,使物料充分吸收熱量、水分及液體,使其達到或接近製粒工藝所需的要求,同時完成從供料器到顆粒機的物料輸送。主要考核指標是調質時間、水分及液體的吸收量、調質溫度、澱粉的糊化度及附加動力等。
(1)單級槳葉式調質器
單級槳葉式調質器是目前使用最為廣泛的一種調質器。調質器的結構較為簡單,主要由主軸、槳葉、支承及傳動機構組成。調質器主軸的轉速一般分為2級,低於125r/min叫低速型,125—500r/min叫高速型。

(2)多級槳葉式調質器
多(duo)級(ji)槳(jiang)葉(ye)式(shi)調(tiao)質(zhi)器(qi)主(zhu)要(yao)適(shi)用(yong)於(yu)水(shui)產(chan)飼(si)料(liao)的(de)生(sheng)產(chan),其(qi)槳(jiang)葉(ye)的(de)結(jie)構(gou)和(he)普(pu)通(tong)的(de)槳(jiang)葉(ye)調(tiao)質(zhi)器(qi)基(ji)本(ben)相(xiang)同(tong)。由(you)於(yu)水(shui)產(chan)飼(si)料(liao)的(de)粒(li)子(zi)較(jiao)細(xi),且(qie)澱(dian)粉(fen)含(han)量(liang)較(jiao)低(di),為(wei)了(le)加(jia)強(qiang)其(qi)調(tiao)質(zhi)作(zuo)用(yong),通(tong)常(chang)采(cai)用(yong)三(san)級(ji)調(tiao)質(zhi)器(qi)組(zu)合(he)。槳(jiang)葉(ye)調(tiao)質(zhi)器(qi)主(zhu)軸(zhou)上(shang)除(chu)了(le)槳(jiang)葉(ye)外(wai),還(hai)均(jun)勻(yun)配(pei)置(zhi)圓(yuan)形(xing)拔(ba)齒(chi),以(yi)增(zeng)加(jia)物(wu)料(liao)前(qian)進(jin)的(de)阻(zu)力(li)和(he)加(jia)強(qiang)攪(jiao)拌(ban)作(zuo)用(yong),提(ti)高(gao)調(tiao)質(zhi)溫(wen)度(du)和(he)調(tiao)質(zhi)的(de)質(zhi)量(liang)。其(qi)外(wai)形(xing)結(jie)構(gou)見(jian)下(xia)圖(tu)。產(chan)量(liang)為(wei)3t/h時,調質器的直徑為400-420mm,配置動力37.5kW,調質器的長度為2450—3300mm,標準型槳葉葉片為52片。調質器外部配有蒸汽夾套輔助加熱、保溫。三級調質時間為90~120s。
(3)帶蒸汽夾套單軸調質器
由CPM公(gong)司(si)和(he)生(sheng)產(chan)的(de)帶(dai)蒸(zheng)汽(qi)夾(jia)套(tao)式(shi)調(tiao)質(zhi)器(qi),是(shi)一(yi)種(zhong)新(xin)型(xing)的(de)調(tiao)質(zhi)器(qi)。設(she)計(ji)的(de)目(mu)的(de)是(shi)為(wei)了(le)改(gai)善(shan)調(tiao)質(zhi)器(qi)的(de)外(wai)部(bu)環(huan)境(jing),使(shi)調(tiao)質(zhi)器(qi)內(nei)的(de)物(wu)料(liao)充(chong)分(fen)調(tiao)質(zhi),同(tong)時(shi)適(shi)應(ying)在(zai)不(bu)同(tong)氣(qi)候(hou)環(huan)境(jing)下(xia)達(da)到(dao)相(xiang)同(tong)的(de)質(zhi)量(liang)。其(qi)工(gong)作(zuo)原(yuan)理(li)是(shi):粉料進入調質器後和蒸汽充分混合,由於粉料吸熱,造成蒸汽冷凝,從而促進調質功能的實現。但一旦冷凝過量、溫度過低,反而會影響調質的效果,增加蒸汽夾套,使調質器內蒸汽的冷凝速度減緩。適當加長調質器、延長調質時間,能起到有效調質和殺菌的作用。調質器機筒和蒸汽夾套均采用不鏽鋼製造,蒸汽夾套按壓力容器的要求設計,耐壓0.68MPa以上。夾套裝有安全閥和疏水閥,確保安全和蒸汽的質量。蒸汽夾套的結構和調質器軸槳葉的配置見下圖。

(4)帶熱甲式單軸調質器(雙級或三級)
帶熱甲式單軸調質器是由Buhler公司發明的一項專利技術,其主要工作原理是:在調質器和顆粒機進料口表麵,附有置於玻璃纖維強化矽膠絕緣層內的熱甲(絕緣層的厚度為8mm),熱甲采用電加熱。熱甲的主要作用是通過加熱調質器外壁的溫度,使調質溫度從常規調質的80~90℃,上升到95℃(熱甲溫度可達到Il0℃)。采用雙級或三級調質,既有利於提高調質效果,又使殺菌效果更好。熱甲技術也可用於連續式和間隙式粉料殺菌熱處理。
(5)單軸螺帶式槳葉調質器
單軸螺帶式槳葉調質器是由美國Scott公司生產的專利產品。主要特點是:調質時間長達60~90s,調質溫度達到89.4℃(調質水分15%);采用螺帶和內置可調位置、角度槳葉組合結構,在調質器的出口裝有滿麵螺旋葉片,確保物料的充滿係數達到80%以上。
三門峽富通新能源生產銷售顆粒機、秸稈壓塊機、飼料顆粒機、木屑顆粒機等生物質燃料飼料成型機械設備,同時我們也大量銷售生物質顆粒燃料。



